A. Konfigurasi Mutlak dan relatif
Ketentuan Fischer (Konfigurasi Relatif)
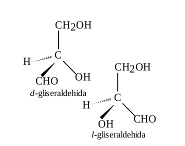
Dengan mengunakan Proyeksi Fischer, sistem penggambaran konfigurasi gugus disekitar pusat kiral yang berbeda (susunan ruang atom atau gugus yang menempel pada karbon kiral), yaitu konvensi D dan L. Metode ini banyak digunakan dalam biokimia dan kimia organik terutama untuk karbohidrat dan asam amino. Gliseraldehida ditetapkan sebagai senyawa standar untuk menentukan konfigurasi semua karbohidrat. Proyeksi Fischer terhadap gliseraldehida dengan rantai karbon digambarkan secara vertikal, dengan karbon yang paling teroksidasi (aldehid) berada pada bagian paling atas, dengan gambar struktur sebagai berikut :
Gugus OH pada pusat kiral digambarkan pada sisi sebelah kanan untuk isomer D dan sisi sebelah kiri untuk isomer L. Ini berarti setiap gula yang memiliki stereokimia yang sama dengan D-gliseraldehida termasuk gula seri D (misalnya D-glukosa), sedangkan gula yang memiliki stereokimia yang sama dengan L-gliseraldehida termasuk gula seri L. Di mana penentuan D atau L berdasarkan pada asimetris pada atom karbon molekul yang kedua dari belakang, yang merupakan C5 pada gambar sebagai berikut :
Situasi ini analog untuk asam amino, jika proyeksi Fischer digambarkan (rantai karbon vertikal dengan atom karbon yang paling teroksidasi berada paling atas), maka semua asam amino “alami” yang ditemukan dalam protein manusia, diketahui memiliki gugus NH3+ pada posisi sebelah kiri proyeksi Fischer, yang sama dengan L-gliseraldehida, sehingga asam-asam amino ini dikenal sebagai asam amino seri L. Hal ini sangat menguntungkan dan bermanfaat dibidang kesehatan, khususnya bidang Farmasi dalam hal rancangan obat dengan uji toksisitas selektif, di mana diketahui asam amino pada mikroorganisme memiliki konfigurasi yang berlawanan yaitu seri D, sebagai contoh Penisillin yang menghambat enzim transpeptidase dalam sintesis dinding sel mikroba, hal ini berhubungan dengan dipeptida D-alanin-D-alanin dari dinding sel mikroba yang mirip dengan struktur penisillin. Sehingga penisilin tidak toksik terhadap manusia yang memiliki L-alanin dalam protein tubuh.
2. Ketentuan Cahn-Ingold-Prelog (Konfigurasi Absolut)
Sistem yang paling sukses untuk menunjukkan konfigurasi senyawa-senyawa umum adalah konvensi Cahn-Ingold-Prelog. Cahn (dari inggris), Ingold (dari Swiss), dan Prelog (Swiss) mengusulkan cara penentuan konfigurasi atom karbon stereogenik baru yang didasarkan atas aturan pronitas (priority rule) atau aturan urutan (sequence rule). System ini menggunakan huruf R atau S untuk setiap pusat kiral dalam molekul dan merupakan pilihan untuk menentukan konfigurasi pusat kiral molekul obat. Penentuan setiap gugus yang melekat pada pusat kiral berdasarkan nomor atom yang bersangkutan. Nomor atom yang lebih berat memiliki prioritas yang lebih utama, sehingga atom hidrogen (H) pada urutan paling akhir. Jika keseluruhan prioritas disekitar kiral pusat telah ditentukan. jika urutan prioritas gugus tersusun menurut arah jarum jam disekitar pusat kiral, karbon kiral menerima konfigurasi R (Rectus) dan jika sebaliknya sebagai konfigurasi S (Sinister). Cara penentuan konfigusai R atau S sebagai berikut:
1. Urutkan prioritas keempat atom yang terikat pada pusat kiral berdasarkan nomor atomnya. Diketahui nomor atom Br = 35, Cl = 17, F = 9, H = 1, maka urutan prioritas keempat atom di atas adalah Br > Cl > F > H.
2. Gambarkan proyeksi molekul sedemikian rupa hingga atom dengan prioritas terendah ada di belakang atau putar struktur (1) dan (2) sehingga atom H ada di belakang.
3. Buat anak panah mulai dari atom/gugus berprioritas paling tinggi ke prioritas yang lebih rendah.
4. Bila arah anak panah searah jarum jam, konfigurasinya adalah R. Bila arah anak panah berlawanan dengan arah jarum jam, konfigurasinya adalah S. Jadi konfigurasi struktur (1) adalah S, sedangkan konfigurasi struktur (2) adalah R.
Konfigurasi relatif muncul sebelumstruktur penataan ruang gugus-gugus di seputar karbon kiral sesungguhnya diketahui. Karena belum diketahui itulah, konfigurasi ditentukan dengan cara membandingkan dengan suatu standar, jadi disebut konfigurasi relatif.
Salah satu jenis stereoisomeri adalah isomeri konfigurasi atau isomer optis.
Isomeri konfigurasi terjadi pada molekul yang tidak mempunyai bidang simetri. Bidang simetri adalah bidang imajiner yang membagi molekul menjadi dua bagian yang satu sama lain adalah bayangan cerminnya.
Molekul yang tidak mempunyai bidang simetri akan berinteraksi dengan bidang cahaya terpolarisasi sehingga bidang cahaya terpolarisasi akan berputar, baik ke kiri atau ke kanan. Kemampuan memutar bidang cahaya terpolarisasi tersebut, baik arah maupun besar sudut putarnya dapat diketahui dengan alat polarimeter. Salah satu ciri molekul yang tidak mempunyai bidang simetri adalah pada molekul tersebut terdapat atom karbon yang mengikat empat gugus berbeda. Atom karbon seperti itu disebut atom karbon kiral atau asimetris.
Sebagai contoh, atom karbon nomor 3 pada molekul 3-kloro-2-metil pentana adalah atom karbon kiral, karena mengikat empat gugus berbeda, yaitu H, CH2CH3, Cl, dan CH(CH3)2. Atom karbon kiral atau pusat kiral seringkali diberi tanda *.
Molekul yang mempunyai pusat kiral tidak mungkin mempunyai bidang simetri, seperti ditunjukkan pada Gambar di bawah ini.
Pada 2-kloropropana yang tidak mempunyai pusat kiral (akiral) terdapat bidang simetri yang dapat membagi molekul menjadi dua bagian yang identik. Molekul yang tidak mempunyai pusat kiral disebut molekul akiral, 2- kloropropana merupakan contoh molekul akiral. Sebaliknya, pada 2-klorobutana yang mempunyai pusat kiral tidak terdapat bidang simetri. Molekul yang mempunyai pusat kiral disebut molekul kiral, 2-klorobutana merupakan contoh molekul kiral Pusat kiral pada 2-klorobutana terdapat pada atom karbon nomor dua. Empat gugus berbeda yang terikat pada karbon nomor dua adalah H, CH3, Cl dan C2H5.
Ketiadaan bidang simetri menyebabkan perubahan penataan ruang gugus-gugus yang terikat pada pusat kiral akan menghasilkan senyawa yang berbeda. Perbedaan tersebut ditunjukkan oleh perbedaan arah perputaran bidang cahaya terpolarisasi yang berinteraksi dengan molekul kiral tersebut. Terdapat dua kemungkinan penataan ruang gugus-gugus disekitar pusat kiral, sehingga untuk senyawa dengan satu nama yang mempunyai satu pusat kiral akan mempunyai dua senyawa berbeda yang merupakan isomer satu sama lain.
Sebagai contoh, gliseraldehida mempunyai satu pusat kiral, yaitu atom karbon nomor dua. Terdapat empat gugus berbeda yang terikat pada atom karbon nomor 2, yaitu H, CH2OH, CHO dan OH. Keempat gugus berbeda tersebut mempunyai dua cara penataan ruang yang berbeda sehingga terdapat dua bentuk senyawa yang merupakan isomer satu sama lain. Isomer yang satu memutar bidang cahaya terpolarisasi ke kanan (diberi tanda +) dengan besar sudut putar 3, karena itu isomer ini diberi nama d-gliseraldehida. Huruf d ditambahkan di depan nama gliseraldehida untuk menunjukkan arah putaran bidang cahaya terpolarisasi, d diambil dari kata Latin dexter yang artinya kanan. Sementara itu, isomer yang lain memutar bidang cahaya terpolarisasi ke arah sebaliknya, yaitu ke kiri (diberi tanda -) dengan besar sudut putar sama (yaitu 3). Isomer ini diberi nama l-gliseraldehida, huruf l berasal dari kata Latin levo yang artinya kiri.
Secara struktur, kedua isomer tersebut akan merupakan bayangan cermin satu sama lain. Artinya, bila salah satu isomer ditempatkan di depan cermin, maka bayangan cermin yang muncul akan mempunyai struktur yang identik dengan isomer yang lainnya. Akan tetapi, keduanya tidak dapat saling dihimpitkan. Fenomena ini mirip dengan fenomena tangan kiri dan tangan kanan. Kedua tangan tersebut mempunyai bentuk yang merupakan bayangan cermin satu sama lain. Tangan kiri dan bayangan cerminnya (yaitu tangan kanan) hanya dapat dihimpitkan secara saling berhadapan seperti ketika bertepuk tangan, akan tetapi bila dihimpitkan dengan arah hadap yang sama, misalnya sama-sama menghadap ke depan, keduanya pasti tidak dapat berhimpitan. Ini menunjukkan keduanya
merupakan senyawa yang berbeda. Oleh karena itulah muncul istilah kiral, yang berasal dari kata Latin chiros, yang artinya tangan. Bila diperhatikan, l-gliseraldehida dan d-gliseraldehida mempunyai rumusmolekul sama, mempunyai urutan penggabungan atom-atom yang sama, tetapi berbeda dalam cara penataan ruang di seputar pusat kiral. Cara penataan ruang di seputar pusat kiral disebut konfigurasi. Fenomena terdapatnya beberapa senyawa yang mempunyai rumus molekul sama, tetapi berbeda dalam penataan ruang gugus-gugus di sekitar pusat kiral disebut isomeri konfigurasi. Senyawa-senyawa yang berisomeri konfigurasi dapat merupakan bayangan cermin satu sama lain, tetapi dapat pula satu sama lain tidak merupakan bayangan cermin. Isomer-isomer konfigurasi yang merupakan bayangan cermin satu sama lain disebut enantiomer. Senyawa-senyawa yang berenantiomer mempunyai sifat fisik (titik didih, indeks bias, keasaman, dll) dan sifat termodinamika (energi bebas, entalpi, entropi, dll) yang identik. Perbedaan senyawa-senyawa yang berenantiomer terletak pada interaksinya dengan senyawa kiral lain, dan interaksinya dengan bidang cahaya terpolarisasi (optis aktif). Oleh karena itu, isomeri konfigurasi dikenal juga dengan nama isomeri optis aktif.
Konfigurasi Absolut (Mutlak)
Konfigurasi absolut ditentukan berdasarkan struktur penataan ruang gugus-gugus di seputar karbon kiral sesungguhnya. Cara penentuan konfigurasi absolut dikemukakan oleh tiga orang ahli kimia yaitu R.S. Chan (Inggris), C.K. Ingold (Inggris) dan V. Pulog (Swis).Cara penamaan/penentuan konfigurasi absolut yang mereka kemukakan dikenal dengan sistem R/Satau sistem Chan-Ingold-Pulog(CIP). Huruf R dan S merupakan singkatan kata berasal dari bahasa Latin, yaitu R = rectus, artinya kanan dan S = sinister, artinya kiri. Dalam menentukan konfigurasi absolut sistem R/S ini, Chan-Ingold-Pulog menetapkan gugus-gugus yang terikat pada suatu pusat kiral dengan prioritas berbeda-beda. Cara penentuan prioritas untuk atom/gugus yang terikat pada pusat kiral adalah serupa dengan urutan prioritas gugus untuk menentukan isomeri E-Z.
Sebagai contoh cara penentuan konfigurasi absolut, perhatikan konfigurasi
absolut pada senyawa (1) dan (2) berikut. Kedua senyawa tersebut merupakan pasangan enantiomer bromo-fluoro-kloro metana.
1.Urutkan prioritas keempat atom yang terikat pada pusat kiral berdasarkan nomor atomnya. Diketahui nomor atom Br= 35, Cl= 17, F= 9, H= 1, maka urutan prioritas keempat atom di atas adalah Br > Cl > F > H.
2.Gambarkan proyeksi molekul sedemikian rupa hingga atom dengan prioritas terendah ada dibelakang atau putar struktur (1) dan (2) sehingga atom H ada di belakang.
3.Buat anak panah mulai dari atom/gugus berprioritas paling tinggi ke prioritas yang lebih rendah.
4.Bila arah anak panah searah jarum jam, konfigurasinya adalah R. Bila arah anak panah berlawanan dengan arah jarum jam, konfigurasinya adalah S. Jadi konfigurasi struktur (1) adalah S, sedangkan konfigurasi struktur (2) adalah R.
Atom setelah C pada gugus C2H5 adalah C,H,H yang mempuyai jumlah atom/gugus yang terikat pada C kiral adalah OH, CH3, C2H5 dan H. Urutan prioritas atom/gugus tersebut sesuai aturan penentuan prioritas adalah OH>C2H5>CH3>H. Gugus C2H5berprioritas lebih tinggi dari CH3 karena atom-nomor atom lebih tinggi dari H,H,H pada CH3.Karena gugus yang mempunyai prioritas paling rendah (yaitu H) sudah terletak di belakang, maka dapat langsung digambarkan anak panah dari gugus berprioritas paling tinggi ( prioritas nomor 1), yaitu OH ke gugus berprioritas lebih tinggi berikutnya (prioritas nomor 2), yaitu C2H5, dan terakhir ke gugus CH3. Perhatikan arah anak panah berlawanan dengan arah jarum jam. Oleh karena itu, konfigurasi struktur tersebut adalah S, lengkapnya ditulis S-2-butanol.
Contoh kali ini gugus berprioritas rendah belum berada di belakang.
Bagaimanakah arah perputaran bidang cahaya terpolarisasi senyawa yangmempunyai konfigurasi R atau S? Apakah ke kiri atau ke kanan ? Penting untuk diingat bahwa konfigurasi absolut R atau S tidak ada hubungannya dengan arah perputaran bidang cahaya terpolarisasi. Konfigurasi absolut R atau S tidak ditentukan dari percobaan dengan polarimeter, tetapi ditetapkan berdasarkan strukturnya. Dengan demikian, senyawa kiral yang berkonfigurasi R dapat memutar bidang cahaya terpolarisasi ke kanan atau ke kiri, tergantung hasil percobaannya, begitu pula dengan senyawa kiral yang berkonfigurasi S.Sebagai contoh, senyawa karvona dengan konfigurasi S memutar bidang cahaya terpolarisasi ke kanan (+ atau d), sehingga ditulis S-(+)-karvona.
B. Pemisahan campuran rasemik.
Campuran rasemik artinya suatu campuran yang mengandung sepasang enantiomer dalam jumlah yang sama. Sepasang enentiomer itu adalah enantiomer R dan enentiomer S. Suatu stereoisomer akan menjalani reaksi yang berbeda dengan stereoisomer pasangannya dalam sistem biologis makhluk hidup. Bahkan terkadang suatu stereoisomer akan menghasilkan produk yang berbeda dengan stereoisomer pasangannya dalam sistem biologis makhluk hidup.
Dalam kebanyakan reaksi di laboratorium, seorang ahli kimia menggunakan bahan baku akiral ataupun rasemik dan memperoleh produk akiral dan rasemik. Oleh karena itu sering kiralitas (atau tiadanya kiralitas) pereaksi dan produk diabaikan dalam bab-bab berikutnya.
Berlawanan dengan reaksi kimia di laboratorium, kebanyakan reaksi biologis mulai dengan pereaksi kiral atau akiral dan menghasilkan produk-produk kiral. Reaksi biologis ini dimungkinkan oleh katalis biologis yanh disebut enzim, yang bersifat kiral. Ingat bahwa sepasang enantiomer mempunyai sifat-sifat kimia yang sama kecuali dalam hal antraksi dengan zat-zat kiral lain. Karena enzim bersifat kiral, maka enzim dapat sangat selektif dalam keguatan katalitiknya. Misalnya, bila suatu organisme mencerna suatu campuran alanina rasemik maka hanya (S)-alanina ang tergabung ke dalam bangunan protein. (R)-alanina tidak digunakan dalam protein, malahan alanina oni dengan bantuan enzim lain dioksidasi menjadi suatu asam keto serta memasuki bagan metabolisme lain.
Dalam laboratorium pemisahan fisis suatu campuran rasemik menjadi enantiomer-enantiomer murni disebut resolusi (atau resolving) campuran rasemik itu. Pemisahan natrium amonium tartarat rasemik oleh Pasteur adalah suatu resolusi campuran tersebut. Enantiomer-enantiomer yang mengkristal secara terpisah merupakan gejala yang sangat jarang, jadi cara Pasteur tidak dapat dianggap sebagai suatu teknik yang umum. Karena sepasang enantiomer itu menunjukkan sifat-sifat fisika dan kimia yang sama, maka tidak dapat dipisahkan dengan cara kimia atau fisika biasa. Sebagai gantinya, ahli kimia terpaksa mengandalkan reagensia kiral atau katalis kiral (yang hampir selalu berasal dari dalam organisme hidup).
Suatu cara untuk memisahkan campuran rasemik atau sekurangnya mengisolasi enantiomer murni adalah mengolah campuran itu dengan suatu mikroorganisme yang hanya akan mencerna salah satu dari enantiomer itu. Misalnya (R)- nikotina murni dapat diperoleh dari (R)(S)- nikotina dengan menginkubasi campuram rasemik itu dengan bakteri Pseudomonas Putida yang mengoksidasi (S)- nikotina tetapi tidak (R)-enantiomer.
Permasalahan :
Metode proyeksi fischer ini banyak digunakan dalam biokimia dan kimia organik terutama untuk karbohidrat dan asam amino. Mengapa metode proyeksi fischer banyak digunakan, apa kelebihan dan kekurangan dari proyeksi fischer ini ?
Permasalahan :
Metode proyeksi fischer ini banyak digunakan dalam biokimia dan kimia organik terutama untuk karbohidrat dan asam amino. Mengapa metode proyeksi fischer banyak digunakan, apa kelebihan dan kekurangan dari proyeksi fischer ini ?










Saya ingin menambahkan sedikit Konfigurasi relative adalah konfigurasi yang membandingkan penataan atom-atom dalam ruang tiga dimensi dalam suatu senyawa dengan senyawa yang lain. Konfigurasi relatife menggunakan arah orientasi D (Dekstro) dan L (Levo). Dekstro memutar kekanan (+) dan lev memutar kekiri (-). System penggambaran konfigurasi relative dengan menggunakan ketentuan proyeksi Fischer. Penggambaran molekul dalam bentuk tiga dimensinya disebut proyeksi Fischer yang ditemukan oleh ilmuan bernama Emil Fischer. Dalam menggambarkan struktur proyeksi Fischer Harus memperhatikan Beberapa aturan , antara lain :
BalasHapusa. Gugus-gugus yang diletakkan horizontal adalah gugus yang mendekati pengamat.
b. Gugus-gugus yang diletakkan vertical adalah gugus yang menjauhi pengamat.
c. Hetero atom (atom selain C dan H) diletakkan pada garis horizontal. Sedangkan C diletakkan pada garis Vertikal.
d. Carbon dengan bilangan oksidasi lebih tinggi diletakkan diatas.
Terima kasih saudari zelvi atas tambahan nya, itu sangat membantu saya untuk belajar dari kekurangan materi yang saya pelajari.
HapusKenapa konvensi Cahn-Ingold-Prelog menjadi Sistem yang paling sukses untuk menunjukkan konfigurasi senyawa-senyawa umum??
BalasHapusSistem yang paling sukses untuk menunjukkan konfigurasi senyawa-senyawa umum adalah konvensi Cahn-Ingold-Prelog. Cahn (dari inggris), Ingold (dari Swiss), dan Prelog (Swiss) mengusulkan cara penentuan konfigurasi atom karbon stereogenik baru yang didasarkan atas aturan pronitas (priority rule) atau aturan urutan (sequence rule). System ini menggunakan huruf R atau S untuk setiap pusat kiral dalam molekul dan merupakan pilihan untuk menentukan konfigurasi pusat kiral molekul obat. Penentuan setiap gugus yang melekat pada pusat kiral berdasarkan nomor atom yang bersangkutan. Nomor atom yang lebih berat memiliki prioritas yang lebih utama, sehingga atom hidrogen (H) pada urutan paling akhir. Jika keseluruhan prioritas disekitar kiral pusat telah ditentukan. jika urutan prioritas gugus tersusun menurut arah jarum jam disekitar pusat kiral, karbon kiral menerima konfigurasi R (Rectus) dan jika sebaliknya sebagai konfigurasi S (Sinister).
HapusBisakah anda jelaskan apa yg dimaksud dengan produk kiral?
BalasHapusKiral adalah senyawa atau ion yang tidak dapat ditindihkan dengan bayangan cerminnya .Kiral berasal dari bahasa yunani “cheir” yang artinya tangan. Istilah kiral secara umum digunakan untuk menggambarkan suatu objek yang tidak dapat bertumpukan secara pas pada bayangannya.
HapusBagaimana bentuk konfigurasi mutlak menurut fishcer?.
BalasHapusRumus proyeksi ini disebut proyeksi Fischer. Fischer mengembangkan rumus-rumus ini untuk menyatakan molekul gula. Contohnya 2,3-dihidroksipropanal (biasa disebut gliseraldehida) dan 2,3,4-trihidroksibutana (eritrosa). Gliseraldehida mempunyai satu atom karbol kiral (karbon 2), sementara eritrosa mempunyai dua karbon kiral (karbon 2 dan 3).
HapusDigunakan untuk menentukan apa saja Proyeksi Fischer, jelaskan?
BalasHapusEmil Fischer (1852-1919) seorang ahli kimia organik bangsa jerman yang yang memperoleh hadiah nobel untuk ilmu kimia pada tahun 1902 atas hasil karyanya tentang kimia ruang (stereokimia) dan umus srtuktur karbohidrat, menggunakan rumus proyeksi untuk menuliskan rumus struktur karbohidrat.
HapusProyeksi fischer digunakan untuk mengutamakan konfigurasi (R) dan (S) dari karbon chiral. Pada proyeksi fischer dari suatu karbohidrat, rantai karbon digambarkan secara vertical (tegak) dengan gugusan aldehid atau keto berada pada puncak dari rumus.
Saya akan memcoba menjawab permasalahan saudari yulisa,
BalasHapusAdapun kelebihan dari metode proyeksi fischer adalah:
Dengan mengunakan Proyeksi Fischer, sistem penggambaran konfigurasi gugus disekitar pusat kiral yang berbeda (susunan ruang atom atau gugus yang menempel pada karbon kiral), yaitu konvensi D dan L.
Metode ini banyak digunakan dalam biokimia dan kimia organik terutama untuk karbohidrat dan asam amino. Dimana Gliseraldehida ditetapkan sebagai senyawa standar untuk menentukan konfigurasi semua karbohidrat. Proyeksi Fischer terhadap gliseraldehida dengan rantai karbon dapat digambarkan secara vertical, dengan karbon yang paling teroksidasi (aldehid) berada pada bagian paling atas. Gugus OH pada pusat kiral digambarkan pada sisi sebelah kanan untuk isomer D dan sisi sebelah kiri untuk isomer L. Dengan Ini berarti setiap gula yang memiliki stereokimia yang sama dengan D-gliseraldehida termasuk gula seri D (misalnya D-glukosa), sedangkan gula yang memiliki stereokimia yang sama dengan L-gliseraldehida termasuk gula seri L.
Kemudian dengan menggunakan proyeksi fischer, untuk asam amino dapat digambarkan (rantai karbon vertikal dengan atom karbon yang paling teroksidasi berada paling atas), maka semua asam amino “alami” yang ditemukan dalam protein manusia, diketahui memiliki gugus NH3+ pada posisi sebelah kiri proyeksi Fischer, yang sama dengan L-gliseraldehida, sehingga asam-asam amino ini dikenal sebagai asam amino seri L. Hal ini sangat menguntungkan dan bermanfaat dibidang kesehatan, khususnya bidang Farmasi dalam hal rancangan obat dengan uji toksisitas selektif, di mana diketahui asam amino pada mikroorganisme memiliki konfigurasi yang berlawanan yaitu seri D.
Dan untuk kelemahannya : proyeksi fischer tidak dapat digunakan untuk menunjukkan konfigurasi senyawa-senyawa umum sehingga untuk hal ini digunakan konvensi Cahn-Ingold-Prelog.
Terima kasih atas saudari shinthari atas jawaban nya. Sangat membantu.
Hapus